WEEK 09
Input Devices
How the week started
This week is more like a summary of the previous electronics-based weeks. Till now, I had designed a PCB in which a light blinks with a button. This is the upgrade week, where we include sensors in our design. Sensors perform many of the functions, while the microcontroller controls them.
How the week ended
The week ended with me being stuck in this 80-20 rule. I have used 3 input devices and could only test if they work, but I did tune the codes in Arduino to get the desired result.
Week 09’s Assignment
Group assignment:
- Probe an input device’s analog levels and digital signals (at minimum, demonstrate the use of a multimeter and an oscilloscope).
- Document your work on the group work page and reflect on your individual page what you learned.
Individual assignment:
- Measure something: add a sensor to a microcontroller board that you have designed and read it :.
This week focuses on understanding sensors and how they function within a system. Before exploring different types, it is important to understand the basic concept behind them. Sensors are input devices that detect changes in the environment and convert them into signals that a microcontroller can read. Examples include light sensors such as phototransistors, distance sensors, and gyroscopes. These devices do not perform actions but provide data based on environmental conditions.
My understanding of Input devices
Until last week, I worked with microcontrollers, LEDs, buttons, programming, and PCB circuit design. This helped me understand the relationship between input and output.
Input devices are the means through which data is given to a system. They enable interaction between the user or the environment and the microcontroller.
For example, when I press the letter "h" on a keyboard, that action is the input. The display of "h" on the screen is the output.
In another scenario, I want a light to turn on when the surroundings are dim. To achieve this, I can use a phototransistor to sense light intensity and connect an LED to the circuit.
Image Prompt - Claude AI
For example, when I press the letter "h" on a keyboard, that action is the input. The display of "h" on the screen is the output. In another scenario, I want a light to turn on when the surroundings are dim. To achieve this, I can use a phototransistor to sense light intensity and connect an LED to the circuit. Here, the phototransistor acts as the input device by detecting light levels. The microcontroller reads this input, processes it based on programmed logic, and then controls the output. The LED acts as the output device. When the sensor detects low light, it sends a signal to the microcontroller, which then turns on the LED. This behavior is programmed using Arduino or similar platforms. his forms a simple system where the sensor is the input, the microcontroller handles processing, and the LED is the output.
Create image simple and minimal
Here, the phototransistor acts as the input device by detecting light levels. The microcontroller reads this input, processes it based on programmed logic, and then controls the output. The LED acts as the output device. When the sensor detects low light, it sends a signal to the microcontroller, which then turns on the LED. This behavior is programmed using Arduino or similar platforms.
This forms a simple system where the sensor is the input, the microcontroller handles processing, and the LED is the output.
Reference: What is an input device
Input devices - The chosen ones
I discussed my final project with instructor Sibin. He suggested the input devices required for the project.
The design involves a moving light that follows a path similar to the sun. The color changes based on time, and the time is set according to another location, such as a friend’s location.
Input Devices
-
Capacitive Touch Sensor –
Learn more
"Capacitive touch sensors are electronic components that detect changes in the electrical charge of conductive materials, such as the human body. When a finger or conductive object touches the surface, it disturbs the electrostatic field and changes the capacitance. This change is measured and interpreted to enable accurate touch detection."
Use: Acts as a touch interface or touch pad to interact with the device.
-
RTC (Real Time Clock) –
Learn more
"A Real Time Clock is used to track the current time and date. It is commonly used in computers, mobile devices, and embedded systems."
Use: Helps set and maintain time based on a selected location. The time remains accurate even when the device is powered off.
-
Phototransistor –
Learn more
"A phototransistor is a component that converts light into electrical signals. It works like a transistor, but uses light instead of a base current to switch on and off."
Use: Used to dim the LED when the surrounding light decreases, creating a night or dim mode when the room lights are turned off.
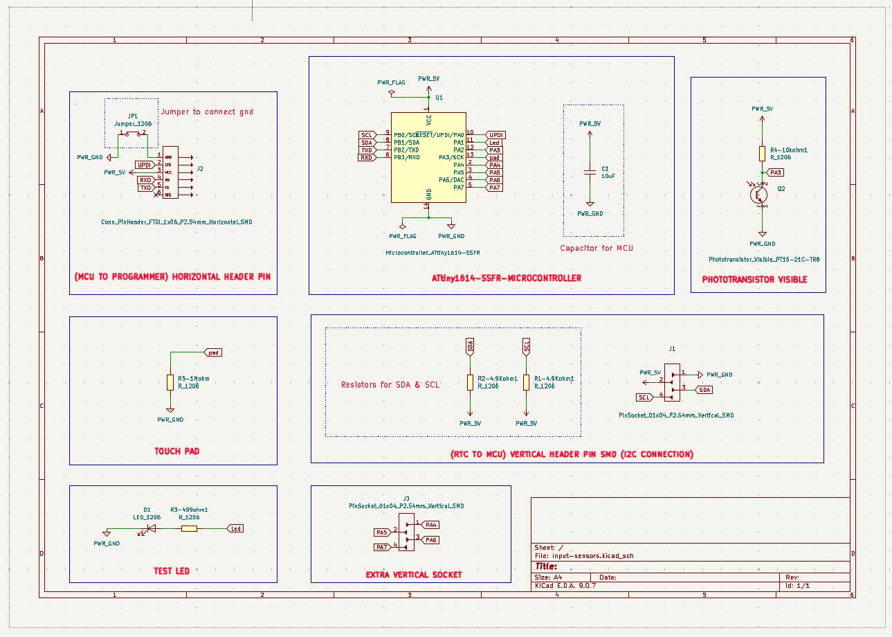
PCB DESIGN - KiCAD











I referred Saheen Palayi's documentation to understand the collector and emitter in the phototransistor. I then viewed the datasheet provided and cross referenced it with a diagram to better understand how to correctly place the phototransistor.